You have been redirected to your local version of the requested page

Quantification of paracetamol with square wave voltammetry

AN-SENS-001

2025-07

en

The electrochemical sensing application with INTELLO

This Application Note demonstrates square wave voltammetry for sensitive, reproducible quantification of paracetamol using a screen-printed electrode and INTELLO.

Square wave voltammetry (SWV) is a highly sensitive electroanalytical technique widely used for the detection of pharmaceutical compounds. In this Application Note, we demonstrate the use of SWV for the rapid and precise quantification of paracetamol in aqueous solutions. Utilizing an unmodified screen-printed electrode, the electrochemical behavior of paracetamol is investigated under optimized experimental conditions.

The method exhibits excellent sensitivity, low detection limits, and good reproducibility, making it suitable for pharmaceutical quality control and environmental monitoring. The influence of scan parameters, supporting electrolyte, and potential interferences is also discussed to ensure reliable detection.

Figure 1. A typical SWV waveform for the forward direction (e.g., from 0 to 1 V).

Square wave voltammetry (SWV) is an electrochemical technique that offers high sensitivity and rapid analysis times, making it particularly well-suited for the detection of low-concentration analytes. As a member of the family of pulsed voltammetric techniques, SWV is a staircase scan superimposed by a symmetric double pulse—one in the forward direction and one in the reverse direction (Figure 1). 

The current is sampled at the end of each pulse and the differential is taken, resulting in three plots from a single square wave voltammetry experiment: one showing the forward current (i1), a second showing the reverse current (i2), and a third plot showing the difference current (i1-i2) vs. the potential. In INTELLO, the difference current is always sampled by default and the forward and reverse currents are optional signals that can be selected in the signals tab of the SWV command. Each parameter has diagnostic value, but typically the difference current vs. potential plot is most used. This approach enables the separation of faradaic and non-faradaic currents, significantly improving signal resolution and detection limits compared to conventional sweep/staircase techniques (e.g., cyclic voltammetry or linear sweep voltammetry). This feature is particularly valuable when working with analytes at trace levels or in complex matrices where background currents may otherwise obscure analytical signals. 

The waveform is characterized by the following parameters: square wave frequency (f), the pulse amplitude (ΔE), and the step height (ΔEs). The step height is the voltage increment between pulses in the underlying staircase scan (Figure 1). The frequency determines the number of pulses applied per second and the amplitude determines the height of the pulses. The scan rate (ν) is given by ν = f ΔEs.

SWV stands out as being more versatile than other pulse techniques, such as differential pulse voltammetry (DPV), because a larger range of scan rates are accessible. The faster scan rates make SWV less susceptible to oxygen interference and mean that a wider range of kinetic timescales can be investigated. However, in certain circumstances DPV can give sharper peaks and improved resolution in the case of responses with overlapping potential windows.

The chemicals 4-acetamidophenol (98%) and TRIS HCl (99%, extra pure) were purchased from Avantor VWR and used without further purification. The sample was a commercial 500 mg/50 mg paracetamol/caffeine tablet. Using ultrapure water, a solution of 0.01 mol/L acetamidophenol in
0.1 mol/L TRIS HCl buffer was prepared. The pH of this solution was adjusted with NaOH to pH 8–9. From this stock solution, a series of standard solutions, from 10-3 mol/L to 10-6 mol/L were prepared.

A sample solution of unknown concentration was prepared by crushing one tablet and dissolving it in 500 mL of ultrapure water. This was then diluted to ensure a concentration that is within the linear working range of the sensor.

The sensor used in this study was a screen-printed electrode (DRP-C110) with a working/counter electrode (WE/CE) made of carbon and a reference electrode (RE) made of Ag. The potentiostat used for measuring the current response was VIONIC powered by INTELLO. The default procedure available in the Autolab library of INTELLO was used for this measurement, and the parameters of this procedure were optimized for this system. 

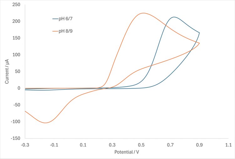
Figure 2. Cyclic voltammogram of acetamidophenol at different pH ranges.

In order to use the electrochemical response to quantify the amount of 4-acetamidophenol (paracetamol) in the sample, the response must first be understood. To that end, cyclic voltammetry (CV) was conducted in the region of interest at two different pH values. The result is shown in Figure 2

At pH 6–7 (in blue), on the forward scan, acetamidophenol (APAP) undergoes an irreversible, proton-coupled, 2e- oxidation. There is no faradaic current observed on the backward scan. This is consistent with literature sources which show that in acidic and weakly acidic solutions the intermediate produced during the oxidation of APAP, termed NAPQI, undergoes rapid reaction with free H+ to ultimately produce a NAPQI-hydrate [1]. At higher pH values, the absence of free protons should make NAPQI sufficiently stable to be detected on the reverse scan, and faradic current is indeed observed on the orange trace (Figure 2). The process is considered quasi-reversible under these conditions. For the determination of the paracetamol content, the higher pH was used because of the increased stability of the NAPQI intermediate. Nevertheless, in principle, there is nothing which prevents an electrochemically irreversible system from being used in a quantitative determination of this type. 

Figure 3. External calibration curve produced from the peak current of a series of standard solutions of acetamidophenol. Trendline: y = 58695x + 1.9823.

As discussed, SWV is more sensitive than CV and it is often the preferred method for direct evaluation of analyte concentrations. The parameters of the SWV were optimized to the following: an amplitude of 80 mV, a frequency of 15 Hz, a potential range of -0.2 to 1.3 V vs. AgCl, and a step height of 5 mV.

SWV with the optimized parameters was conducted on a series of standard solutions to produce the calibration curve shown in Figure 3.

Figure 4. Square wave voltammogram of the sample solution at pH 8–9, measured with an amplitude of 80 mV and a SWV frequency of 15 Hz.

Finally, SWV was conducted again on a diluted solution of the sample (tablet). This result is shown in Figure 4. The peak current measured was ~31 μA. According to the calibration curve in Figure 3, this gives a theoretical concentration of acetamidophenol in the solution of around 0.00502 mol/L. Once the dilution factors are accounted for, this means the crushed tablet contained approximately 430 mg of acetomidophenol. This result compares favorably with the manufacturer-reported value of 500 mg. 

SWV is an electroanalytical technique commonly used in trace analysis applications. Here, using VIONIC powered by INTELLO and an unmodified screen-printed electrode, we demonstrate this technique for the determination of paracetamol content from a commercial tablet. Research in this field often involves modification of the electrode to increase selectivity or detection limits. 

Square Wave Voltammetry – Sample 

  1. Hart, N. T.; Lane, W. C.; de la Garza, L. Electrochemical Quantification of Acetaminophen: An Engaging Cyclic Voltammetry Laboratory for the Quantitative Analysis Course. J. Chem. Educ. 2020, 97 (8), 2254–2259. DOI:10.1021/acs.jchemed.9b01127
Contact

Metrohm Siam

Phyathai
10400 Bangkok

Contact