You have been redirected to your local version of the requested page

UV/VIS spectroelectrochemical monitoring of 4-nitrophenol degradation

AN-RA-004

2019-12

en

Spectroelectrochemistry is a multi-response technique that provides both electrochemical and spectroscopic information about a chemical system in a single experiment, i.e., it offers information from two different points of view. Spectroelectrochemistry focused on the UV/VIS region is one of the most important combinations because this allows us to obtain not only valuable qualitative information, but also outstanding quantitative results. In this application note, the degradation kinetics for 4-nitrophenol, a known pollutant, were determined using SPELEC.

Spectroelectrochemistry is a multi-response technique that provides both electrochemical and spectroscopic information about a chemical system in a single experiment, i.e., it offers information from two different points of view. Spectroelectrochemistry focused on the UV/VIS region is one of the most important combinations because this allows us to obtain not only valuable qualitative information, but also outstanding quantitative results. In this application note, the degradation kinetics for 4-nitrophenol, a known pollutant, were determined using SPELEC.

In-situ spectroelectrochemistry provides both electrochemical and real-time spectroscopic information while a redox reaction takes place. In contrast, ex-situ methods usually require one or more samples and external instruments for data analysis in order to better understand the different processes occurring on the electrode surface.

Although 4-nitrophenol (4-NP) is included in the U.S. Environmental Protection Agency List of Priority Pollutants [1,2], this compound (which is hazardous for humans, plants, and animals) has been widely used in the fabrication of drugs, leather, or pesticides [3], in agriculture, as well as in domestic activities [4]. Therefore, the study of its degradation is currently an important issue.

In this work, the combination of electrochemistry and UV/VIS spectroscopy in a single experiment has allowed monitoring the degradation of 4-NP from an aqueous solution. Furthermore, spectroelectrochemistry displays the quantitative information needed to calculate the efficiency of the degradation process.

Instrumentation

Figure 1. Setup for UV/VIS spectroelectrochemistry.

Spectroelectrochemical monitoring was performed using SPELEC, a fully-integrated instrument for UV/VIS spectroelectrochemistry. This instrument integrates in a unique box the electrochemical (bipotentiostat/galvanostat) and the spectroscopic equipment (light source and detector). SPELEC was used in combination with a bifurcated reflection probe (RPROBE-VIS-UV) (Figure 1). This instrument is controlled by Dropview SPELEC, a dedicated software that allows performing real-time spectroelectrochemical measurements and provides completely synchronized electrochemical and optical data.

Gold screen-printed electrodes (SPEs) used in this work (220AT) consist of a flat ceramic strip on which a three-electrode system comprising the electrochemical cell is screen-printed. The gold working electrode is circular with a diameter of 4.0 mm, a silver electrode is used as pseudoreference electrode, and a carbon electrode acts as counter electrode. The 220AT electrodes were used in a near-normal reflection configuration in a reflection cell (REFLECELL).

Methods

Electrochemical degradation of 4-nitrophenol is based on its irreversible reduction in Na2SOaqueous solution. UV/VIS spectra were simultaneously recorded along with the electrochemical signal, obtaining additional information of the electrode surface during the whole experiment.

Spectroelectrochemical behavior of 4-NP was studied by linear sweep voltammetry (Fig. 2a), scanning the potential from -0.30 V to -1.00 V at a rate of 0.01 V s-1 in a solution composed of 1 × 10-4 M 4-NP and 0.5 M Na2SO4. UV/VIS spectra were simultaneously recorded to the electrochemical experiment and the spectrum of the initial solution (4-NP) was taken as reference for the UV/VIS absorption spectra. As can be observed in Fig. 2b, UV/VIS spectra show two absorption bands, centered at 320 and 400 nm, related to the consumption of 4-NP and the generation of degradation products, respectively.

Figure 2. (a) Linear sweep voltammogram obtained scanning the potential from -0.30 V to -1.00 V and (b) UV/VIS spectra simultaneously obtained in 1 × 10-4 M 4-NP and 0.5 M Na2SO4 solution aqueous solution using 220AT electrodes.

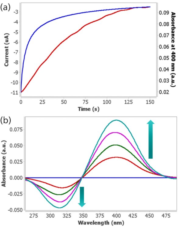
As a proof of concept, the electrochemical degradation of 4-NP was performed by chronoamperometry, applying -1.00 V over a period of 150 s (blue line in Fig. 3a) in a mixed solution of 2 × 10-5 M 4-NP and 0.5 M Na2SO4. Although 750 UV/VIS spectra were simultaneously recorded to the chronoamperometry, only a few spectra from the experiment are represented in Fig. 3b.

Time-resolved spectroelectrochemistry utilizes short integration times and  therefore it provides a large number of spectra during an electrochemical experiment. It allows us to represent the evolution of the absorption band at 400 nm with time, and as can be seen in Fig. 3a (red line), the absorbance at 400 nm increases during the chronoamperometry.

Figure 3. (a) Chronoamperogram performed in 2 × 10-5 M 4-NP and 0.5 M Na2SO4 solution applying -1.00 V during 150 s (blue line) using 220AT electrodes. Evolution of the UV/VIS absorbance at 400 nm (red line) with time. (b) UV/VIS spectra recorded during the electrochemical process.

However, spectroelectrochemistry not only provides qualitative information but also quantitative information that can be used to calculate the efficiency of the degradation process. The theoretical maximum absorbance value is calculated according to the Lambert-Beer’s law:

where ε is the molar absorption coefficient, b is the optical pathway length, and is the concentration (in moles per liter, M). The experimental maximum absorbance value is extracted from the UV/VIS spectra and the efficiency (r) is calculated as:

According to the Lambert-Beer’s law (eq. 1) with ε = 17357 L mol-1 cm-1 at 400 nm [5], b = 0.36 cm, and C = 2 × 10-5 M, the Atheoretical value was 0.125 a.u. On the other hand, the experimental maximum value of absorbance obtained is 0.095 a.u., so the efficiency of this simple electrochemical degradation process (eq.2) was r = 76.0%.

The efficiency of this procedure was evaluated with respect to the time while the potential was applied:

Time (s) Efficiency (%)
25 21.6
50 39.4
75 45.6
100 53.2
125 61.4
150 76.0

A compact instrument for real-time UV/VIS spectroelectrochemistry provides valuable information of the different processes that take place on the electrode surface.

SPELEC instrument provides information of a different nature (electrochemical and spectroscopic) within a single experiment.

This multi-response technique enables the study of degradation kinetics for various pollutants.

Quantitative information obtained by UV/VIS spectroelectrochemistry has demonstrated to be very useful in the determination of the efficiency of the degradation of the pollutant 4-nitrophenol.

  1. US Environmental Protection Agency, US Environmental Protection Agency, Federal Register, 1979, 44, 233, Fed. Regist. 44 (1979) 23.
  2. US Environmental Protection Agency, US Environmental Protection Agency, Fed. Regist. 1989, 52, 131, Fed. Regist. 52 (1989) 131.
  3. D. Chaara, I. Pavlovic, F. Bruna, M.A. Ulibarri, K. Draoui, C. Barriga, Removal of nitrophenol pesticides from aqueous solutions by layered double hydroxides and their calcined products., Appl. Clay Sci. 50 (2010) 292–298.
  4. S. Laha, K.P. Petrova, Biodegradation of 4- nitrophenol by indigenous microbial populations in Everglades soils, Biodegradation. 8 (1998) 349–356.
  5. D. Ibañez, E. Gomez, E. Valles, A. Colina, A. Heras, Spectroelectrochemical monitoring of contaminants during the electrochemical filtration process using free-standing carbon nanotube filters, Electrochim. Acta. 280 (2018) 17–24.
Contact

Metrohm Vietnam Co., LTD

Park IX Building 08 Phan Dinh Giot Street, Ward Tan Son Hoa, Tan Binh District
700000 Ho Chi Minh City

Contact