元の言語のページへ戻りました

イオンクロマトの硝酸系溶離液における陽イオン分離の調節

ご隠居達のIC四方山話シーズ3 その8

ja

イオンクロマトグラフィにおいて、陽イオン分析の基本的な溶離液である、硝酸を使用した際の陽イオンの分離挙動について、ご隠居さんがわかりやすく解説しています。

《ご隠居達のIC四方山話》

シーズン3 その捌(八)

イオンクロマトグラフィにおいて、陽イオン分析の基本的な溶離液である、硝酸を使用した際の陽イオンの分離挙動について、ご隠居さんがわかりやすく解説しています。

「お邪魔しますよ~!」

 

「お待ちしていましたよ。ご隠居さん!」

「暑くなってきたね。ちょいと散歩のつもりで歩いてきたんだけど・・・」

「冷たい飲み物を持ってきますけど,どちらに行かれたんですか?」

「こないだね。チョット落語の『百川』を聞いたんですよ。話のほうはちょっとした滑稽話なんだけど,『百川』ってのは料亭で,日本橋の浮世小路,今の三井美術館や三越の向い,COREDO室町のあるあたりに本当にあったそうですよ。COREDO室町を覗いて,そのまま水天宮まで歩いてきたましたよ。」

「結構歩きましたね!まだまだ,ご健在ですね。」

「いやぁ~,30分そこらだからそれほどでもないですよ。ところで,福徳神社 (芽吹神社) って知ってますか?COREDO室町の脇なんですけど。ビルの谷間なのに,お詣りの人が結構多いんですよ。昔はそこで富籤をやってた性か,今は宝くじを持ってお払いに行くと,良く当たるらしいよ。泰さんも行ったらどうですか?」

「どこかで聞いたような気がしますね。宝くじは時々買いますので,行ってみましょうかね。」

「私は籤運が悪いんですけど,当たったら。よろしくお願いしますね。」

「えぇ,まぁ…。まぁ,期待しないでおいてください。あっ,そうそう。今晩は大丈夫ですよね。前回,客先で長引いて,遅くなって戻ってこれなかった埋め合わせをしますんでどうですか?」

「ほぉ~。宝くじの山分けの代わりってんじゃないですよね?冗談ですよ。どうせ暇な爺ですので,大変うれしいお誘いですよ。是非,お供させてくださいな。」

「それでは,夕方にでもまた顔を出しますので…・。」

「判りました。こないだの続きは気合入れてやりますんで,喬さんと清さんを呼んでくださいな!」

 
--------------------------------------------------------------------------------------------------------------------------------


さて,今回からは,陽イオンの分離です。まず,陽イオンの分離機構から見ていきましょう。第貳話に,イオン交換相互作用におけるイオンの保持機構に関しては書いておきましたが,復習ですよ。
図7-1は,スルホ基を持った陽イオン交換樹脂での陽イオンの保持です。スルホ基は,水を付加して酸性のスルホン酸となっています (図7-1 A)。ここに,塩化ナトリウムが来ると,ナトリウムイオン (Na+) を吸着し,代わりに水素イオン (H+,プロトン) を吐き出し,塩酸 (HCl) が生成されます (図7-1 B)。陽イオン交換樹脂に捕捉されたナトリウムイオンは,溶離剤を流すことによって溶離することができます。陽イオン分析では,溶離剤として硝酸やメタンスルホン酸が用いられます。この時の溶離剤は,水素イオン (H+) です。水素イオン (H+) の陽イオン交換樹脂における選択性はナトリウムイオン (Na+) よりも低いのですが,水素イオン (H+) を流し続けることにより溶離してきます。

 
図8-1 Metrosep陽イオン分析用カラムにおける一価二価陽イオンの分離パターン

 

陽イオン分離の特徴に関する確認ができたところで,本題に入りましょう。

陽イオンの分離では,陽イオン交換樹脂を用いて,希薄な酸等の酸性溶離液で分離を行います。酸としては,硝酸,硫酸,メタンスルホン酸,シュウ酸,酒石酸等を用いることが可能ですが,硝酸が最も広く利用されています。
陽イオン分析においても,溶離液濃度を変化させることで溶出時間を変化させることができます。図8-2に,硝酸濃度を変化させたときの一価二価陽イオンのクロマトグラムを示します。図で明白なように,硝酸濃度,正確には溶離剤は水素イオンH+ですので,水素イオン濃度H+が高くなるにつれて保持時間 (溶出時間) は小さくなります。二価イオンのほうが溶離液濃度の増加に伴う溶出時間の減少が大きいのが判ります。そして,6 mM硝酸では,マグネシウムイオンがカリウムイオンを追い越して前に出ています。

 

図8-2 溶離液の硝酸濃度を変化させたときのクロマトグラム (Metrosep C 6)

 

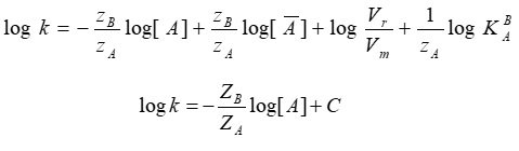
図8-2のクロマトグラムから求めた,硝酸濃度と保持 (保持指数k) との関係 (両対数表示) を図8-3に示します。第参話で陰イオン分離における溶離液濃度と保持の関係について話しましたが,陽イオン分離でも溶離液 (硝酸) 濃度と保持指数kの両対数プロットでは直線関係が成り立ち,下記のイオン交換の式に則って分離されます (第参話参照)。図8-3におけるカリウムイオンとマグネシウムイオンの近似線の傾きはそれぞれ –0.993及び –2.038 で,傾きの比は 2.05 ですのでイオン交換の式が成り立っています。二価イオンの傾きが2倍ですので,高濃度の溶離液を用いると二価のマグネシウムイオンが一価のカリウムイオンを追い越してしまうんです。

 

図8-3 溶離液の硝酸濃度と保持との関係 (Metrosep C 6)

 

ということで,硝酸濃度を高くすることで,下記のような溶出パターンを変化させたクロマトグラムを得ることができるんです。ただし,これは積極的に選択性の変化を達成したものじゃなく,イオン交換則に基づいて分離されたものですので本質的な選択性の変化は起こっていません。
この点は頭に入れておいてくださいね。

 

図8-4 高濃度硝酸を溶離液として用いた時の陽イオン分離 (Metrosep C 6)
 
--------------------------------------------------------------------------------------------------------------------------------


溶離液に有機酸を用いた場合でも,概ねイオン交換則に則って分離が行われます。

図8-5は,シュウ酸/硝酸系溶離液を用いて,シュウ酸濃度を変化させたときの一価二価陽イオンのクロマトグラムです。この溶離液系でも,シュウ酸 (溶離剤は水素イオンH+) の濃度が高くなるにつれて保持時間 (溶出時間) は小さくなります。但し,2 mM硝酸のpHは2.7で,シュウ酸のpKa1は1.04ですので,溶離液濃度の変化に伴いpHも微妙に変化しています。そのため,シュウ酸の解離度も変化してしまいますので,図8-3のような直線関係は得られません。

 

図8-5 シュウ酸/硝酸系溶離液による陽イオンの分離
 
--------------------------------------------------------------------------------------------------------------------------------


ここまではノンサプレスト式イオンクロマトグラフィでの溶出挙動を示しましたが,サプレスト式イオンクロマトグラフィでも同様の保持挙動を示します。図8-6に,サプレスト式イオンクロマトグラフィによる一価二価陽イオンの代表的なクロマトグラムを示します。

このカラム (Metrosep C Supp 1) も,ここまでにお見せしたカラム (Metrosep C 3,C 4 及び C6) と同様にカルボン酸型の陽イオン交換樹脂が充填されています。

図8-7に,硝酸濃度と保持 (保持指数k) との関係 (両対数表示) を示します。サプレスト式イオンクロマトグラフィにおいても,溶離液 (硝酸) 濃度と保持指数kの両対数プロットでは良好な直線関係が成り立っていることが判ると思います。

このように,陽イオン交換モードではイオン交換則に則って分離が行われますので,溶離液濃度による溶出時間の調整は比較的容易に行うことができます。

 

図8-6 サプレスト式イオンクロマトグラフィによる一価二価陽イオンの分離 (Metrosep C Supp)
図8-7 溶離液の硝酸濃度と保持との関係 (Metrosep C Supp 1)
 
--------------------------------------------------------------------------------------------------------------------------------


今回は,陽イオン分析における基本的な溶離液である硝酸を用いた時の陽イオンの分離挙動について話をしてきました。ここまでで判るように,硝酸を溶離液に用いる陽イオン分析では選択性の変化が生じないということがお判りいただけたと思います。しかし,チョットした工夫をすれば,特定の陽イオンの選択性を変化させることが可能です。次回は,そのテクニックについてお話をさせていただこうと思っています。

 
では,次回もお楽しみに…。

 

下記資料は外部サイト(イプロス)から無料ダウンロードできます。
こちらもぜひご利用ください。