You have been redirected to your local version of the requested page

Oxygen Reduction Reaction with the Rotating Ring Disk Electrode

AN-EC-014

2019-03

en

The oxygen reduction reaction (ORR) is important to the functional readiness of a fuel cell. Rotating ring disk electrode (RRDE) experiments allow the reaction to be studied in hydrodynamic conditions to determine kinetic properties via the Levich and Koutecký-Levich equations. Mechanistic information is simultaneously obtained from the reaction of intermediates at the secondary (ring) electrode. This application note describes how the RRDE from Metrohm Autolab can be used to study the ORR. 

The oxygen reduction reaction (ORR) is one of the most studied reactions in the field of electrocatalysis. The ORR in aqueous acidic electrolyte can proceed through different pathways depending on the reaction conditions. In most cases, the desired reaction is the 4-electron process shown in Equation 1. Other possible reaction pathways include the combinations of Equations 2 and 3, where H2O2 is formed as an intermediate, and Equations 2 and 4, where the reduction is incomplete.

If hydrogen peroxide (H2O2) is formed as a product or intermediate during the ORR, it can be detected electrochemically through its oxidation reaction, Equation 5.

The ORR is generally studied in hydrodynamic conditions using a rotating working electrode (WE) to induce forced convection within the electrochemical cell. This strategy is applied to achieve a stable mass transfer limited current density that may otherwise be difficult to maintain because of the slow kinetics of the reaction. In this application note, a rotating ring disk electrode (RRDE) set up is used to study the ORR.

An Autolab PGSTAT302N potentiostat/galvanostat fitted with the BA module, a dual-mode bipotentiostat, was used in combination with the Autolab RRDE hardware. The measurements were carried out in a four electrode configuration using the Autolab RRDE electrochemical cell.

Since the electrochemical signals from Pt electrodes are sensitive to system impurities, all cell components in contact with the electrolyte were thoroughly cleaned. The cleaning procedure consists of soaking the components a diluted solution of H2SO4 with H2O2, followed by rinsing several times with boiling water. The working electrodes were the Pt disk (WE1) and Pt ring (WE2), which are both built into a single RRDE tip. The RRDE tips have a theoretical collection efficiency of 24.9% based on the geometry of the disk and the ring. Determination of the experimental collection efficiency and the meaning of the theoretical collection efficiency value are outside the scope of this application note. The counter electrode (CE) was a platinum sheet and the reference electrode (RE) was a double junction Ag/AgCl electrode with 3 M aqueous KCl solution in the inner compartment and the working electrolyte (0.5 M H2SO4) in the outer compartment. Both the CE and the RE were inserted into the cell at a height slightly above that of the bottom of the RRDE electrode tip in order to avoid disturbing the hydrodynamic flow profile. The 0.5 M H2SO4 electrolyte was purged with high purity O2 gas for fifteen minutes prior to beginning the experiments in order to reach a saturated concentration of dissolved O2. During the measurement, a blanket of O2 gas was maintained over the surface of the electrolyte to ensure that the concentration of dissolved O2 remained stable.

The experimental procedure hydrodynamic linear sweep with RRDE was applied using the NOVA software. At the disk, linear voltammetry staircase sweeps from 0.70 to –0.20 V vs. Ag/AgCl were applied with various electrode rotation rates (𝜔). At the ring, the potential was fixed at 1.00 V and the current response was recorded.

Figure 1 shows the results of a typical ORR RRDE experiment. The blue curves correspond to the current at the Pt disk (WE1) as the E is swept from 0.70 to –0.20 V at a scan rate of 50 mV s–1 with various electrode rotation rates (𝜔). The red curves correspond to the current signal at the Pt ring (WE2), whose potential is fixed at a value of 1.00 V, at the same 𝜔 values as the disk.

Figure 1. Plot of the disk (blue solid lines) and ring (red dashed lines) current data vs. the disk potential, collected during the hydrodynamic RRDE study of the ORR using a Pt disk and Pt ring.

The 𝜔 values varied between 500 and 3000 RPM; they were chosen with a square root relationship for intuitive representation on the Levich plot. As the potential at the disk is swept from high to low values, the onset of ORR gives rise to a negative (cathodic) signals that is observable at approximately 0.65 V.

The current increases with decreasing potential then reaches a plateau region at approximately E = 0.20 V to –0.10 V. This plateau is also known as the mass transfer limited region of the voltammetry profile where the rate of the ORR reaction is limited by the availability of oxygen at the electrode surface. The cathodic current increases in magnitude with increasing ω according to the Levich relationship. At the lowest potential values (i.e., lower than –0.10 V), cathodic current decreases in magnitude as the adsorption of hydrogen on the Pt electrode surface interferes with the ORR. The potential at the ring is fixed at 1.00 V, thus the X-axis of the graph in Figure 1 does not apply to the ring data. Although the potential of the ring is fixed, the current signal at the ring changes as the potential of the disk is swept. This is because the disk and the ring are in close proximity of each other (there is a separation of 375 𝜇𝑚 between the disk and ring). Thus, the chemical environment at the disk influences the ring. As oxygen is reduced at the disk, reaction products, such as H2O2, diffuse from the disk to the ring and may undergo further reaction. The oxidation of H2O2 gives rise to a positive (anodic) current signal and therefore the current at the ring is indicative of H2O2 production at the disk. The anodic current at the ring increases as the potential of the disk is swept to low values that give rise to ORR at a significant rate. When the disk current is limited by mass transfer (plateau region of the blue curves), the current corresponding to H2O2 oxidation at the ring continues at a relatively stable value. When the cathodic disk current decreases due to the presence of adsorbed hydrogen on its surface, the ring current increases sharply; this indicates a change in the ORR mechanism where a greater proportion of the reaction is now following a pathway that favors H2O2 production.

Figure 2 shows the Levich and Koutecký-Levich plots for the ORR which demonstrate the relationship between the current and the rotation rate at a fixed potential.

Figure 2. Linear sweep voltammetry profiles (top) from the disk electrode at various rotation rates; the potential value for the Levich and Koutecký-Levich analyses are indicated. Levich (middle) and Koutecký-Levich (bottom) plots.

When the potential value is selected within the mass-transfer limiting plateau of i vs. E curves, the Levich plot follows a linear relationship according to Equation 6.

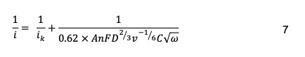
When the potential is selected from the region where the current is under a mixture of kinetic and mass transfer control, the Koutecký-Levich plot is liner according to Equation 7.

For both Equations 6 and 7, the variables are defined as:

A (cm2) is the geometric area of the disk
F (= 96485 C mol-1) is the Faraday’s constant
D (cm2s-1) is the diffusion coefficient of O2 in the electrolyte
𝑣 (cm2s-1) is the kinematic viscosity of the electrolyte
C (mol cm-3) is the concentration of O2 in the electrolyte
𝜔 (rad s-1) is the angular frequency of rotation
𝑛 is the number of electrons involved in the reaction

The Levich and the Koutecký-Levich plots can be fitted using linear regression to calculate the slopes and intercepts. For the Koutecký-Levich plot, the kinetic current ik is calculated from the y-intercept which is equal to 1/𝑖k. According to Equation 8, the ik value can be related to the rate constant for electron transfer 𝑘. In order for Equation 8 to be applied, the number of electrons involved in the reaction 𝑛 must be known.

Information about the dominant mechanistic pathway at a given potential value can be elucidated based on the presence of H2O2 detected at the ring (WE2). The data presented in Figure 1 indicates that ORR proceeds via a mixture of the four-electron and two-electron pathways at potential values within the mass transfer limited plateau. At potential values less than –0.10 V the two-electron mechanism becomes dominant, as evidenced by the increase in H2O2 detected at the ring.

It is possible to calculate the diffusion coefficient of oxygen in the system using the slope value from the linear regression applied to the Levich plot in Figure 2. The variables relating to the system that are required for this calculation are listed in Table 1. The concentration of O2 in the electrolyte is assumed to be equal to its solubility; in other words the solution is saturated. This experiment yields a diffusion coefficient value for oxygen in the electrolyte of 7.6E−5 cm2 s–1 when assuming a four-electron process and 2.2E−5 cm-2 s-1 when assuming two electrons are transferred. In reality, both processes contribute to the measured electrochemical signal. The diffusion coefficient value is high when compared with a literature value of 1.4E–5 cm2 s-1 (see references). This property is sensitive to experimental parameters such as the concentration of O2 in the electrolyte, which is likely to be the most significant source of uncertainty in this measurement.

Table 1. System variables for the oxygen reduction reaction in 0.5 M H2SO4 electrolyte at room temperature.
Parameter  Value  Unit 
Kinematic viscosity  0.010 cm2 s–1
Solubility of O2 1.1E-6  mol cm–3
Electrode geometric area 0.20  cm2

In this application note, the Autolab RRDE system was used to study the oxygen reduction reaction with a Pt disk/Pt ring electrode. The H2O2 formed at the disk electrode during ORR was detected at the ring electrode; its presence was used as an indicator of the reaction pathway. The Levich and Koutecký-Levich plots were fitted using linear regression. The resulting equations can be used to calculate the diffusion coefficient O2 in the electrolyte, the number of electrons transferred during the reaction, and the rate constant for electron transfer.

  1. N.A. Anastasijević et al. J. Electroanal. Chem. 229 (1987) 305
  2. Nenad M. Marković et al. J. Phys Chem. 99 (1995) 3411
  3. Carlos M. Sánchez–Sánchez and Allen J. Bard. Anal. Chem. 81 (2009) 8094
  4. Francisco J. Vidal-Iglesias et al. Electrochem. Commun. 15 (2012) 42.
  5. Alfred B. Anderson. Electrocatal. 3 (2012) 176.
  6. K–L. Hsueh et al. Electrochimica Acta. 28 (1983) 691.

 

Contact

Metrohm AG

Ionenstrasse
9100 Herisau

Contact